Performance Level Determination for Existing Buildings
As a result of the pushover analysis, the plastic deformation values of the element are calculated automatically.
The knowledge level coefficient is chosen by the user.
As a result of the curvature analysis, the plastic rotation limit values to be used in the performance evaluation for (CP), (LF) and (IO) performance levels are automatically calculated.
According to the distributed plastic behavior model, the total unit strain limit values of concrete and reinforcing steel calculated for (CP), (LF) and (IO) performance levels are automatically calculated.
ICONS
b w = Body width of beam
d = Useful height of beam and column
d b = Diameter of longitudinal reinforcement (average in tension) [m]
f ctm = Tensile strength of existing concrete defined according to 15.2.4.3
f co = Unconfined concrete compressive strength
f sy = Yield strength of reinforcement steel
f ck = Characteristic compressive strength of concrete
f yk = Characteristic yield strength of reinforcement steel
Lp = Plastic hinge length [m]
L s = Shear span [m]
V e = Design shear force based on column, beam and curtain
ρ sh = Volumetric ratio of transverse reinforcement in the direction considered
L p = Plastic hinge length [m]
L s = Shear span [m]
ϕ y = Yield curvature [m -1 ]
ϕ u = Shear curvature [m -1 ]
θ p (LF) = Controlled DamageAllowable plastic rotation limit for performance level [rad]
θ p (CP) = Allowable plastic rotation limit for Preventing Performance level [rad]
θ p (IO) = Allowable plastic rotation limit for Limited Damage performance level [rad]
ω we = Mechanical reinforcement ratio of effective wrapping reinforcement
ρ sh = Volumetric ratio of transverse reinforcement in the considered direction
ε c (CP) = Limit of permissible confined concrete unit shortening for the Anti-Shrinkage performance level
ε s (CP) = Allowable reinforcing steel unit deformation limit for Anti-Failure performance level
ε c (LF) = Allowable confined concrete unit shortening limit for Controlled Damage performance level
ε s (LF) = Allowable reinforcing steel unit deformation limit for Controlled Damage performance level
ε c (IO) = Limit of allowable confined concrete unit shortening for Limited Damage performance level
ε s (IO) = Allowable reinforcing steel unit deformation limit for Limited Damage performance level
It is stated in Article 5.8.1.6 of TBDY that the boundaries of deformation regarding the evaluation of existing buildings are defined in Chapter 15 of TBDY .
In TBDY Section 15.2.3 , the material strengths to be used in determining the capacities of existing building elements are considered as the current material strength . At the same time , the Knowledge Level Coefficients defined in Article 15.2.12 (a) of TBDY and shown in Table 15.1 are applied to the staff capacities. In the TBDY Article 15.2.12 (b) , the current material strengths are used in the calculation of the element capacities and these material strengths are not divided into the material coefficients given in the regulations (TS500).

In this case TBDY Figure 5A.1 and Figure 5A.2 from coil and armature model with raw edge concrete models described, for co raw edge concrete compressive strength and f sy , is defined by the yield strength of knowledge coefficient and the available material strength of the reinforcing steel.

If the current material strength, including the characteristic compressive strength of the concrete, f ck , is used, if the knowledge level is selected as "Extensive", the concrete strength is taken as f co = f ck , if the knowledge level is selected as "Limited", f co = 0.75f ck . Similarly, in the case of using the current material strength, including the characteristic yield strength of the reinforcement, f yk , if the knowledge level is selected as "Extensive", the yield strength of the reinforcement steel is f sy = f yk , if the knowledge level is "Limited", f sy = 0.75f yktaken. The moment curvature relationship of the plastic joint section is calculated according to the above material strengths. In this case, the skeleton curve of the plastic hinge is obtained according to the current material strength .
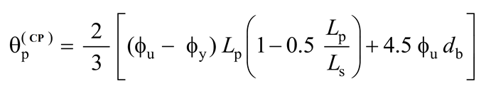
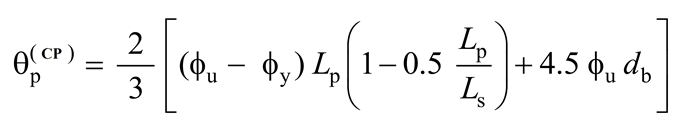
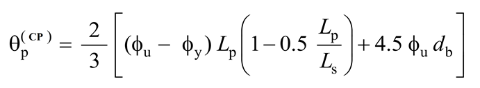
According to TBDY 15.7.1.3 , the upper limits of rotation of plastic hinges shall be taken into account as defined in 5.8.1.2 , 5.8.1.3 , 5.8.1.4 . According to TBDY 5.8.1.2 , plastic rotation limit value θ p (CP) is calculated by Eq.(5.6) for the Prevention of Collapse (CP) Performance Level of plastic hinges. Collapse Prevention Performance Level for Concentrated Plasticity Model

In this relation, the values of u pre-collapse curvature and ϕ y yield curvature are found by the moment-curvature relation derived from the plastic joint section. In the moment-curvature relationship, the stress-strain relations of concrete and reinforcement are used as the material model. In this case , according to TBDY 15.2.12 , ϕ u and ϕ y existing material strengths are calculated for existing structures by taking into account the knowledge level coefficient. φ U and φ y values after obtaining Prevention migrant (GO) Performance Level rotational plastic limit value θ p (GO) It is obtained by using existing material strengths .
TBDY 5.8.1.3 According plastic hinges controlled damage (KH) Performance Level of plastic rotation limit values for θ p (KH) and TBDY 5.8.1.4 according to the yield- limited damage (SH) Performance Level rotational plastic limit value θ p (SH) , θ p (BP) using the value calculated as follows.



According to TBDY 15.7.1.3 , unit strain upper limits calculated according to the distributed plasticity models will be taken into account as defined in 5.8.1.1 ,5.8.1.3 , 5.8.1.4 . Permissible limit values for unit deformations of concrete and reinforcing steel ε c (GÖ) and ε s (GÖ) calculated according to the distributed plastic behavior model in the performance evaluation for the Prevention of Collapse (DP) Performance Level according to TBDY 5.8.1.1 are shown below. .


In the performance evaluation for the Controlled Damage (LF) Performance Level according to TBDY 5.8.1.3 , the allowable limit values for unit deformations of concrete and reinforcing steel ε c (KH) and ε s (KH) calculated according to the diffuse plastic behavior model are shown below. Life Safety Performance Level

Permissible limit values for unit deformations of concrete and reinforcing steel ε c (IO) and ε s (IO) calculated according to the distributed plastic behavior model in the performance evaluation for the Limited Damage (LF) Performance Level according to TBDY 5.8.1.4 are shown below. Immediate Occupancy Performance Level

If the shear force ratio
V e / (b w d f ctm ) of the reinforced concrete section whose deformation is calculated according to TBDY Article 15.7.1.4 is <0.65,
then θ p (CP) , θ p (LF) and θ p (IO) plastic rotation top limit values apply. However, if the shear force ratio is greater than 1.3, the upper limit values of θ p (CP) , θ p (LF) and θ p (IO) are reduced by multiplying by 0.5. Linear interpolation is made for intermediate values.