Skip to main content
Skip table of contents

Calculation of Combined Response Parameters and Scaling Design Values of Combined Response (4.8.2.1)

  • Mode combination method specified in 4.8.1.1 is done automatically.

  • In accordance with 4.8.1.2 , the sufficient number of vibration modes to be taken into account in modal calculation methods is calculated automatically by using Equation 4.30 .

  • The modal multiplier and unit modal behavior magnitudes specified in Annex 4B are automatically calculated.

  • With the modal combination method specified in Annex 4B , earthquake calculation is made automatically by using TKB (CQC).


Symbols

m i   = total mass of the i'th storey
m   = mass moment of inertia of the i'th storey
m ixn (X)  = (X) for the earthquake direction, the i'th storey modal effective mass of the nth natural vibration mode of the building in the x-axis direction
m iyn (X)  = (X) for the earthquake direction i'th storey modal effective mass
m iθn (X)  = (X) of the building's nth natural vibration around the z-axis for the earthquake direction i'th storey modal effective mass moment of inertia
m j (S) = Finite Element Analysis node j to effect individual masses
m txn (X)   = (X) earthquake direction for building the x-axis direction of the nth vibration mode of base shear modal effective mass
m tyne (Y)  = (Y) earthquakes base shear in the building along the y axis for the direction of modal effective mass
r max (X)  = (X) earthquake direction for any behavior variables (displacements and relative storey drift, strain component) corresponding to the coupled typically  to maximum modal behavior of size
r n (X)  = Typical unit modal behavior magnitude corresponding to any action magnitude (displacement, relative floor displacement, internal force component) for the earthquake direction in the nth natural vibration mode (X),
r n, max (X)  = nth natural vibration mode ( X) Typical largest modal behavior magnitude corresponding to any action magnitude (displacement, relative floor displacement, internal force component) for the earthquake direction
S aR (T n )  = reduced design spectral acceleration for the nth vibration mode
T n  = nth mode natural vibration period
β mn  = ratio of mth and nth natural vibration periods
Φi (X) n  = nth natural vibration mode shape amplitude at i'th storey (X) earthquake direction
Φ ixn  =nth natural vibration mode shape amplitude ati'th storey in x-axis direction
Φ iyn  = y-axis at i'th storey nth natural vibration mode shape amplitude in the direction
θ iθn  = nth natural vibration mode shape amplitude as rotation around the z-axis at the ith storey
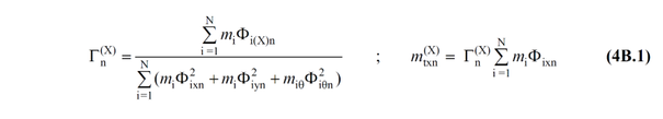
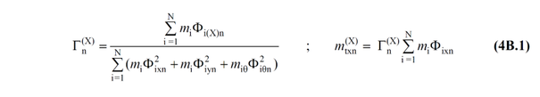
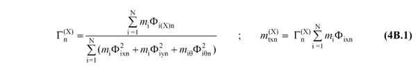
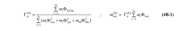
Γ x (X)  = (X) for the earthquake direction, modal contribution of the nth vibration mode multiplier
ξ n  = modal damping ratio of the nth vibration mode
ω n  = Natural vibration angular frequency of the nth vibration mode
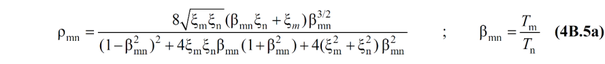
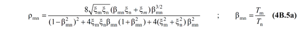
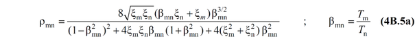
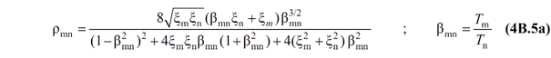
ρ mn  = Cross correlation coefficient of the mth and nth natural vibration modes in the Complete Quadratic Combination Rule


Earthquake Calculation with Mode Combination Method

When making earthquake calculations with mode combination method, it is used in the horizontal elastic design spectrum in the direction of a given earthquake and the maximum values ​​of the response magnitudes in each vibration mode are calculated with the modal calculation method. The largest non-synchronous modal behavior magnitudes calculated for enough vibration modes   are then combined statistically to obtain approximate values ​​of the largest behavior magnitudes.
For each vibration mode considered, the largest modal behavior magnitudes namely displacements, relative floor displacements, internal forces and stresses are found. Located in the largest size modal behavior of  Complete Quadratic CombinationIt is combined using the (CQC) rule. In this analysis, it does not give information about when the said behavior magnitude occurred and its correlation with other loadings. The values ​​found as a result of the combination reveal the largest possible positive (absolute) value for a single modal behavior magnitude. For this reason, the concept of direction is lost in the earthquake calculation made with the modal combination method.

Modal Account Parameters

Modal calculation parameters are the magnitudes calculated according to the information obtained only in the direction of the earthquake considered and from the free vibration calculation of the carrier system, regardless of the earthquake data. Modal calculation parameters are defined only for the (X) direction in this document. The same parameters are made for the (Y) direction. In the definition of modal calculation parameters, the degrees of freedom of the carrier system are determined according to the defined masses. In case floor floors  are modeled as  rigid diaphragm , the floor mass is collected at the center of mass of the relevant floor. If floor slabs   are modeled as semi-rigid diaphragms , the masses are defined at the joints of Shell Finite Elements. In this case, instead of a total storey mass,  mThe  masses of j (S) are taken into account.

Modal Contribution Multiplier and Unit Modal Behavior Size

Given (X) for earthquake directions nth of vibration mode  modal contribution factorΓ x (X)base shear modal effective massm txn (X)TBDY Equation 4B.1  'is calculated by As defined.

The modal contribution factorΓ x (X) , the total storey mass,  m i , or masses at the finite element nodes  , can be determined by m j (S) ,  which is an important value in determining the  modal effective masses . The definition of mass determines the freedom streams in modal analysis. The modal shape amplitude, Φ i (X) n , representing the mass matrix as well as the rigid diaphragm or semi-rigid diaphragm solution modal shape also varies in its matrix. In the semi-rigid diaphragm solution, since masses are defined at nodes and modal shapes are found according to these nodes, the stresses and deformations occurring in the slab also occur in modal calculation methods and a more realistic solution is obtained. In a typical nth vibration mode for a given earthquake direction (X), the storey modal effective masses of the  degrees of freedom described above   are calculated as defined in TBDY Equation 4B.2 .

Unit Modal Behavior Magnituder ' n (X) is  the magnitude corresponding to any response magnitude (displacement, relative floor displacement, internal force component) in typical n'th vibration mode for a given earthquake direction (X). TBDY is obtained by a static calculation in which the modal effective masses  defined in  Equation 4B.2 are imposed as loads in their direction.

Earthquake Calculation and Full Quadratic Combination

In a typical nth vibration mode for a given earthquake direction (X), the largest modal behavior magnitude corresponding to any action magnitude (displacement, relative storey displacement, internal force component)  ,  r n, max (X)TBDY Equation 4B. It  is calculated by 3 .

With this equation, the maximum values ​​of the behavior magnitudes such as internal force components, displacement and relative floor displacement are calculated for each vibration mode. However, since the largest modal contributions are asynchronous sizes they are combined statistically.  Any size of action (displacement, relative story offset, internal force component) can be achieved by applying the exact Quadratic Unification rule. As the most general modal combination rule,  Exact Quadratic Combination  (TKB or CQC)   is calculated by TBDY Equation 4B.4 .

In the above equation, the  cross correlation coefficientρ mn ,   is calculated as in TBDY Equation 4B.5a .

For any earthquake direction (X), the maximum modal behavior magnitude,  r max (X) , displacement, relative floor displacement, internal force component values. Since these values ​​are the biggest positive (absolute) values, the concept of direction disappears in this method. Therefore, when examining the modal combination method analysis results (for example, Ex internal force diagram), the values ​​shown on the structure do not provide the equilibrium equation. The values ​​seen in the analysis results are the highest possible value of the point looked at.


JavaScript errors detected

Please note, these errors can depend on your browser setup.

If this problem persists, please contact our support.