Increasing Reduced Internal Forces and Displacements According to Equivalent Base Shear Force
Special Analysis Rules in Basement Structures as per TBDY 2018 How the calculation should be done is explained for X direction in practice.
In accordance with TBDY 4.8.4.4, the X and Y direction β tE increase coefficients obtained from this calculation made for both directions are applied only for the upper section elements in the basement structures.
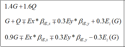
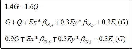
Accordingly, the internal force results and displacements determined in the earthquake effect of the upper section in the basement buildings are automatically increased by the program with this coefficient. This increase is not valid for vertical earthquake effect and vertical loads. Increase over loading combinations is shown below.

The coefficients determined for the X and Y direction of the building are as follows:


In summary, there is no need for an increase for the building.