Reduced Design Response Spectrum
Symbols
T = Natural vibration period [s]
T A = Horizontal elastic design acceleration spectrum corner period [s]
T B = Horizontal elastic design acceleration spectrum corner period [s]
S ae (T) = Horizontal elastic design spectral acceleration [g]
S aR (T) = Reduced design spectral acceleration [g]
D = StrengthReductionCoefficient
I = Building Importance Coefficient
R = Structural System Behavior Coefficient
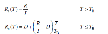
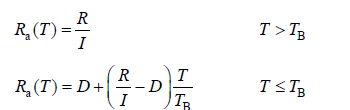
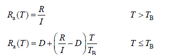
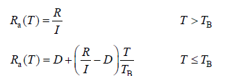
R a (T) = Predicted ductility capacity and period dependent Earthquake Load Reduction Coefficient
4.4.1. Design Acceleration Spectrum Reduced Under Horizontal Earthquake
4.7 and 4.8.2 which are given in the calculation method in the horizontal direction reduced seismic loads ' s to be used for determining reduced design acceleration spectrum 's specific T with the ordinate for the natural vibration period of reduced design spectral acceleration of S R ( T ) , Eq. (4.8) It is defined by:

Wherein S aa ( T ) , 02.02 defined in formula DD-2 earthquake motion Eq. (2.2) determined by the horizontal elastic design spectral acceleration , expand R ( T a ) is from Eq. (4.1) defined by Seismic Load Reduction Factor It shows.

Related Topics