Crane Beam Design Sample Calculation
Section and Material Information: HEA 300 - S235
Span: 5 m Building total length: 25 m Crane capacity: 10 tf
Download ideCAD for Crane Beam Design with AISC 360-16
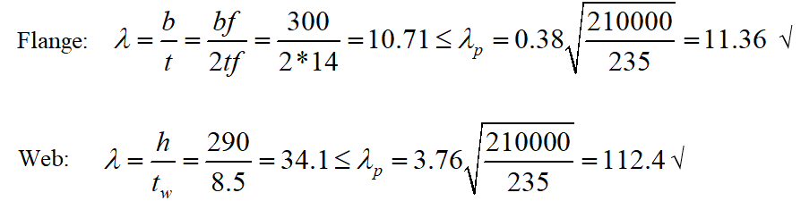
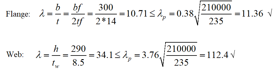
Local Buckling

Bending Strength for Major Axis

Bending Strength for Minor Axis

Design for Combined Forces

Shear Control
According to regulation 10.2.1 (a) for double-symmetrical I-sections,

Web Lateral-Buckling

Deflection Limit

These results can be compared with the Steel design - Crane section and the crane beam report.



Download ideCAD for AISC 360-16
Next Topic