Torsional Buckling Design
Symbols
Ag : Gross cross-sectional area of member
Cw : Warping constant, in.6 (mm6)
E: Structural steel modulus of elasticity
Fcr : Critical stress
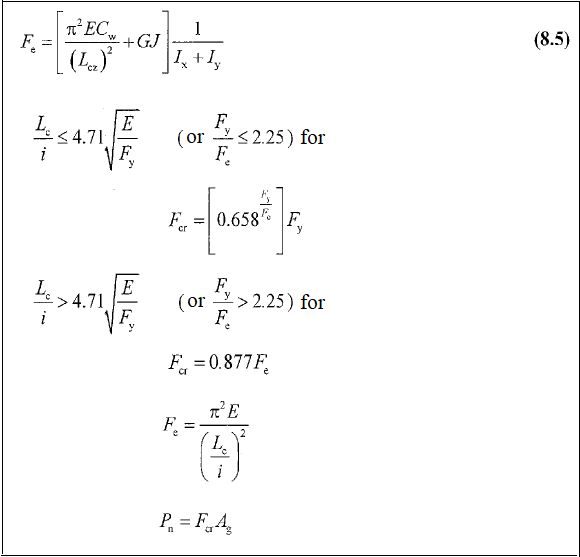
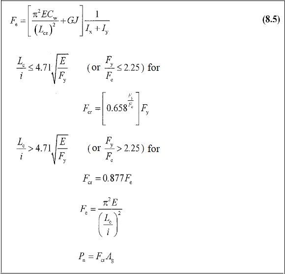
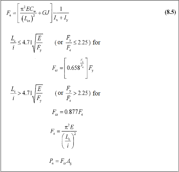
Fe : Elastic buckling stress determined according to Equation 8.5
Fy : Specified minimum yield stress of the type of steel being used
G: shear modulus of elasticity of steel = 11,200 ksi (77 200 MPa)
J: Torsional constant, in.4 (mm4)
K : Effective length factor
L: Laterally unbraced length of the member
Lcz : Effective length of member around the z-axis (= KL)
Ix , Iy : Moment of inertia about the principal axes, in.4 (mm4)
i: Radius of inertia
Torsional Buckling Limit State
Buckling occurs when the element rotates around its longitudinal axis. It occurs in positive (+) shaped built-up elements or channel cross-section that are compressive elements consisting of 4 equal leg angle placed back to back.

Design with ÇYTHYE 2018
The compressive strength of the elements is determined according to the axial force acting into the center of gravity section.
The torsional buckling limit state occurs when the element rotates around its longitudinal axis (positive (+) shaped built-up elements or channel cross-section that are compressive elements consisting of 4 equal leg angle placed back to back) and the elastic buckling stress F e is calculated by equation 8.5.


Next Topic