Design Spectrum Reduced by Respose Modification (4.4.1)
By using the parameters determined in 2.3.4 and 4.2.1 , the Reduced Design Spectral acceleration, S aR (T) is determined automatically according to Equation 4.8 .
Symbols
S DS = Short period design spectral acceleration coefficient [dimensionless]
S D1 = Design spectral acceleration coefficient for a period of 1.0 seconds [dimensionless]
T = Natural vibration period [s]
T A = Horizontal elastic design acceleration spectrum corner period [s]
T B = Horizontal elastic design acceleration spectrum corner period [s]
T L = Transition period to constant displacement region in horizontal elastic design spectrum [s]
S ae (T) = Horizontal elastic design spectral acceleration [g]
S aR (T) =Reduced design spectral acceleration [g]
D = Strength Excess Coefficient
I = Building Importance Coefficient
R = Structural System Behavior Coefficient
R a (T) = Predicted ductility capacity and Seismic Load Reduction Coefficient depending on the period
The reduced design spectral acceleration S aR (T), which is the ordinate of the reduced design acceleration spectrum for a given natural vibration period T , used to determine the reduced earthquake loads in the horizontal direction , is that of Sae (T) ,Horizontal Design Response Spectrum ,R (TA)'toDetailed Explanation (Appendix-4A) is obtained by dividing the Earthquake Load Reduction Coefficient.

On the Analysis Settings Wizard - Design Spectra tab, the spectral acceleration coefficients obtained from AFAD based on the coordinates and the horizontal elastic design spectrum Sae (T) are calculated according to the formula below . Horizontal Design Response Spectrum , it is represented by a total of 4 functions, different in each region, and shown with the graph below.

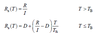
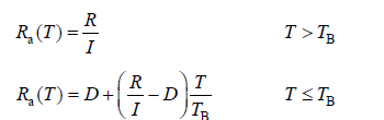
According to the carrier system type, using the R and D coefficients obtained from Table 4.1, R (Ta) is calculated as follows:

The reduced design spectral acceleration S aR (T) is represented by the graph:
