Steel Column Design Example
How do you design a steel column with ideCAD?
Steel Column Design strength control of the steel column named PL007 is done under the most unfavorable internal forces due to the general analysis determined according to International Steel Design Codes. The material and section information of the column are as follows:
Steel material: S355 Fy =355 N/mm 2 Fu =510 N/mm 2
Cross section: HEB 450
Ix = 79890 cm4 | Iy = 11720 cm4 | Jx = 440.5 cm4 | Cw = 5258000 cm6 |
Wex = 3551 cm3 | Wpx = 3982 cm3 | A= 218 cm4 | |
d=450 mm | h=344 mm | bf = 300 mm | tf = 26 mm |
tw = 14 mm | ix=191.4 mm | iy=73.3 mm |
Control of Cross-Section Conditions (TBDY 9.3.1)
It should be checked whether the flange width/thickness and web height/thickness values of the column cross-section exceed λhd value given in Table 9.3 .
Cross-section flange;
koşulu sağlar.
Cross-section web;
As a result of the analysis, the column design point is taken from the cross-section.
koşulu sağlar.
Check of the cross-section condition is made according to the TBDY 2018 Table 9.3 in the steel column report and summarized in tabular form.

Axial Force Strength
The calculation of the flexural buckling boundary state about the X-axis is as follows:
MPa
MPa
The calculation of the flexural buckling boundary state about the Y-axis is as follows:
MPa
MPa
kN
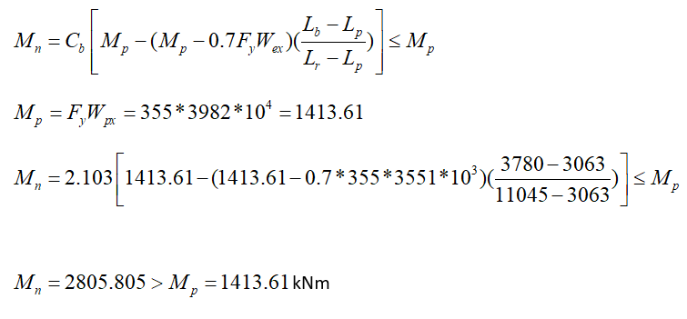
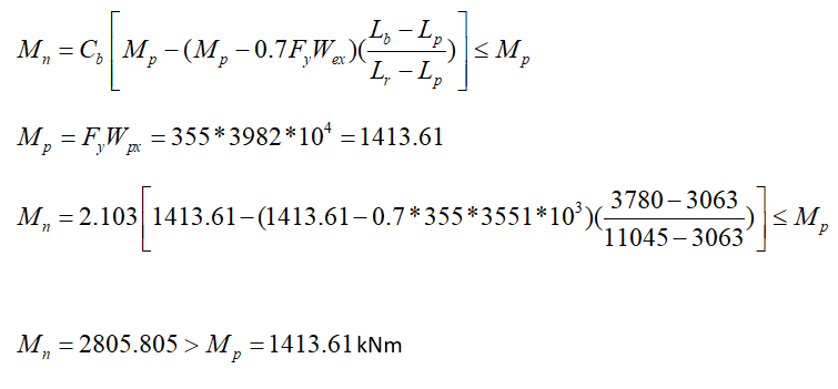
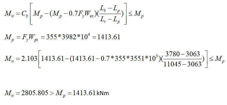
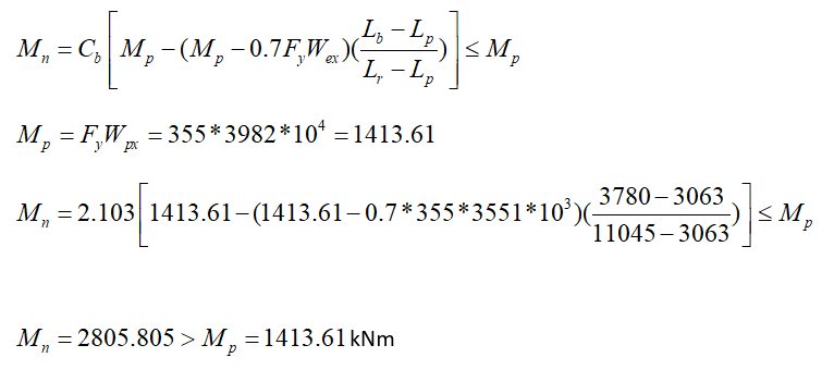
Flexural Moment Strength
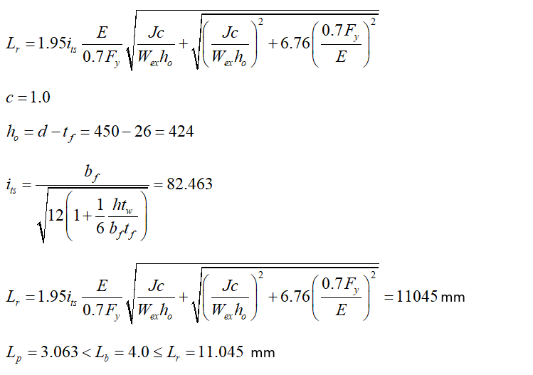
mm
mm
Since Lr is calculated.

In this case, the characteristic bending moment strength should be calculated by ÇYTHYE Equation 9.3. Cb, the lateral-torsional buckling modification factor, used in this calculation is determined automatically according to the moment values read on the relevant column.


According to design rules under combined effects, strength control is done as follows:

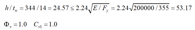
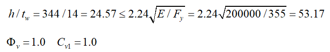
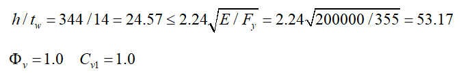
Shear Force Strength
According to section 10.2.1(a) of ÇYTHYE in I-cross section with double symmetry axes,

According to ÇYTHYE 10.2,

Axial Capacity Control
In addition to the axial capacity we design the elements under combined effects above, the axial tensile force must also be controlled in accordance with TBDY 9.3.1.3. The point to be considered in this check is that the horizontal earthquake effects obtained from the analysis must be increased by D, overstrenght factor.

Next Topic