End Plate Shear Connection
The end plate connection is a type of non-moment-transferring connection (slip connection) that is bolted to the body of the profile by welding. Bolt control, weld control and plate control are performed automatically according to the placement of the elements of the connection. Connection design with single plate is made automatically according to the Design, Calculation and Construction Principles of Steel Structures (ÇYTHYEDY) (GKT and YDKT) or AISC 360-16 (ASD and LRFD) regulations and the connection report is generated.
In the end plate connection calculation, distance control between bolts, horizontal and vertical edge distance control, weld thickness control, mounting stability controls are made as geometry control. As strength control, slip on support bolts, crushing in support profile and plate bolt hole, beam and plate slip slip, beam and plate shear failure, plate block slip, weld strength controls are made.
Connection Geometry
Geometry Checks
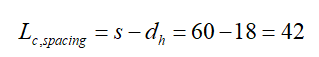
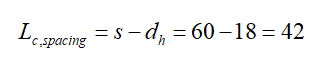
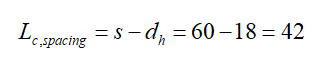
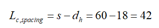
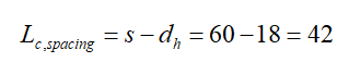
Bolt Spacing
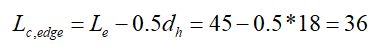
| ÇYTHYEDY 13.3.6 |
|
|
| 60 mm |
|
|
| 20 mm | s =60 mm > smin = 3*16=48 mm | √ |
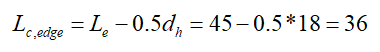
Horizontal Edge Distance
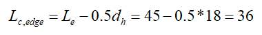
| ÇYTHYEDY 13.3.7 |
|
|
| 40 mm | L eh ≥ 2d = 2 * 16 = 32 mm conformity check for application | √ |
| 22 mm | Minimum distance check according to Table 13.9 | √ |
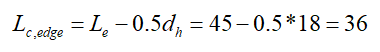
Vertical Edge Distance
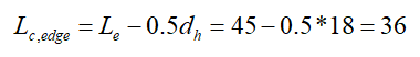
| ÇYTHYEDY 13.3.7 |
|
|
| 40 mm | L eh ≥ 2d = 2 * 16 = 32 mm conformity check for application | √ |
| 22 mm | Minimum distance check according to Table 13.9 | √ |
Weld Thickness
| ÇYTHYEDY 13.3.7 |
|
|
| 5 mm |
| √ |
| 3.5 mm | Table 13.4 | √ |
Erection Stability
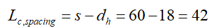
ÇYTHYEDY 13.3.7 |
|
| |
L | 150 mm |
|
|
| 190.4 mm | L=150 > 190.4/2=95.2 mm | √ |
Strength Checks
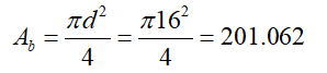
Bolt Shear at Support
| ![]() |
|
| ![]() |
|
| ![]() | ÇYTHYEDY 13.10b |
| ![]() |
|
Required | Available | Ratio | Control |
|---|---|---|---|
31.564 kN | 144,765 kN | 0.218 | √ |
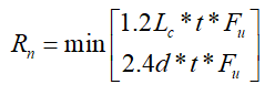
Bolt Bearing on Support
| 16+2=18 mm |
|
| ![]() | ÇYTHYEDY 13.3.13 Equation 13.14a and13.14b |
| ![]() |
|
| ![]() |
|
| ![]() |
|
Required | Available | Ratio | Control |
|---|---|---|---|
31.564 kN | 197,853 kN | 0.160 | √ |
Bolt Bearing on Plate
| 16+2=18 mm |
|
| ![]() |
|
| ![]() | ÇYTHYEDY 13.3.13 Equation 13.14a and13.14b |
| ![]() |
|
| ![]() |
|
| ![]() |
|
| ![]() |
|
| ![]() |
|
Required | Available | Ratio | Control |
|---|---|---|---|
31.564 kN | 334,399 kN | 0.094 | √ |
Beam Shear Yield
| ![]() |
|
| 235.359 N/mm2 |
|
| ![]() | ÇYTHYEDY 13.17 |
| ![]() |
|
Required | Available | Ratio | Control |
|---|---|---|---|
31.564 kN | 122,166 kN | 0.258 | √ |
Plate Shear Yield
| ![]() |
|
| 235.359 N/mm2 |
|
| ![]() | ÇYTHYEDY 13.17 |
| ![]() |
|
Required | Ready | Ratio | Control |
|---|---|---|---|
31.564 kN | 338.77 kN | 0.093 | √ |
Plate Shear Rupture
| ![]() |
|
| 362.846 N/mm2 |
|
| ![]() | ÇYTHYEDY 13.18 |
| ![]() |
|
Required | Available | Rate | Control |
|---|---|---|---|
31.564 kN | 287,374 kN | 0.110 | √ |
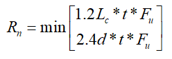
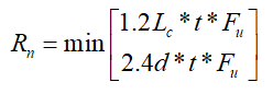
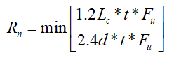
Plate Block Shear Rupture
| ![]() |
|
| ![]() |
|
| ![]() |
|
| 235.359 N/mm2 |
|
| 362.846 N/mm2 |
|
| 1 |
|
| ![]() |
|
| ![]() | ÇYTHYEDY 13.19 |
| ![]() |
|
Required | Available | Ratio | Control |
|---|---|---|---|
31.564 kN | 308,556 kN | 0.102 | √ |
Weld Strength
| 480000 kN/m2 |
w | The weld thickness taken from the combination menu is 0.707 * w value. 5 / 0.707 = 7.07 mm |
| 362.846 N/mm2 |
t | 6.2 mm |
l | 135.856 mm |
| ![]() |
| ![]() |
| ![]() |
![]() |
Required | Available | Ratio | Control |
|---|---|---|---|
31.564 kN | 91.688 kN | 0.344 | √ |
Next Topic
Related Topics
































