15.4.2
The horizontal elastic design spectrum is defined for use in the performance analysis of existing or reinforced structures. While defining the earthquake effects in the performance analysis, the structural system behavior coefficient, the excess strength coefficient and the building importance factor are not applied (R=D=I=1).
The Earthquake Ground Motion Level to be used to determine the structural performance of the existing or strengthened building is determined by the user.
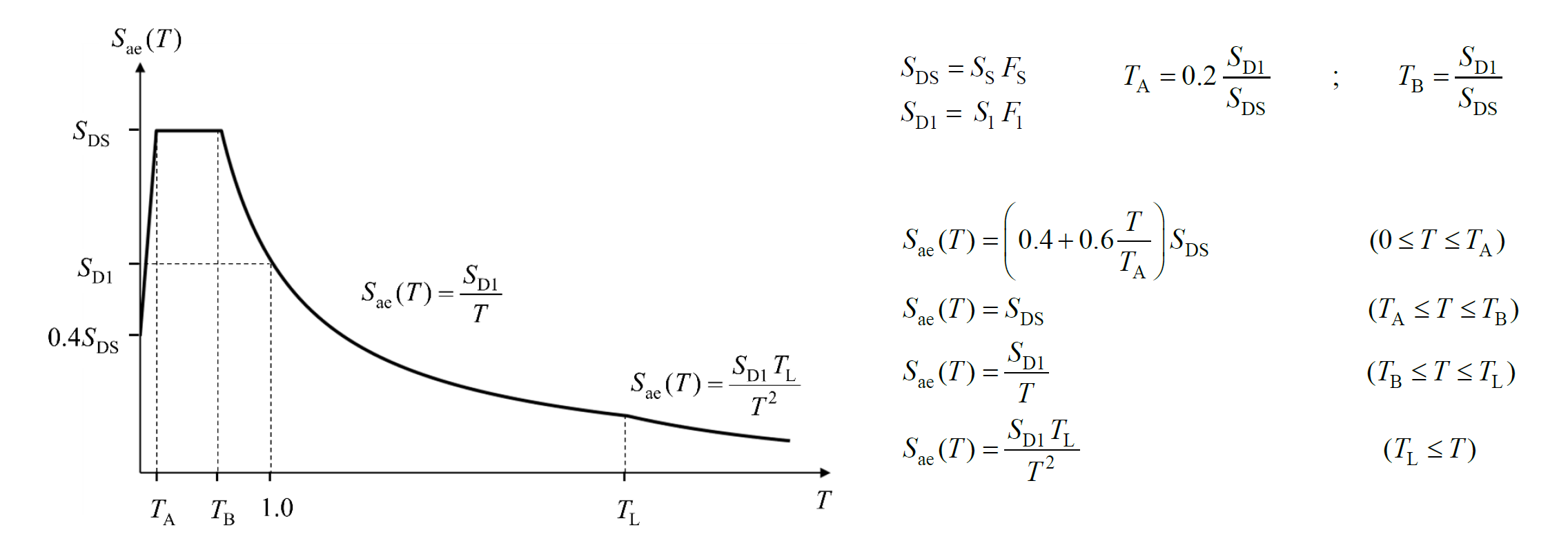
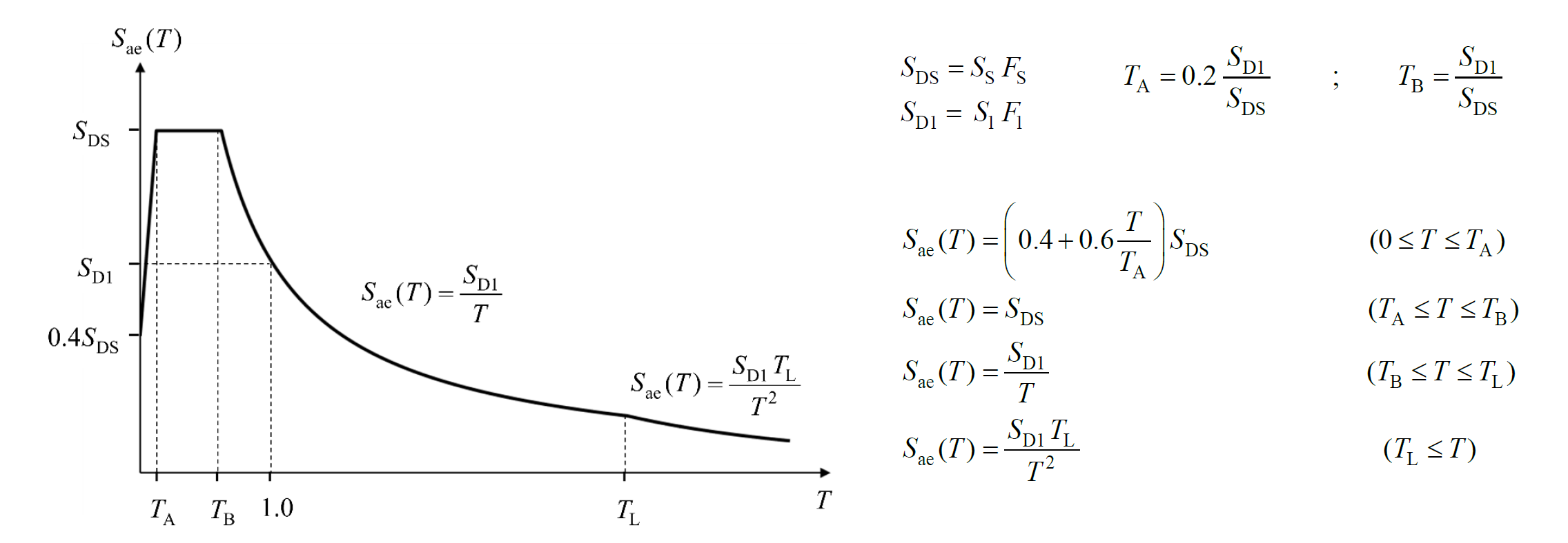
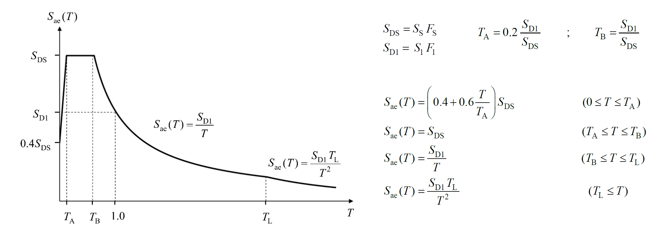
The Horizontal Elastic Design Spectrum is automatically created according to the selected earthquake ground motion level and map spectral acceleration coefficients .
Building importance coefficients are not applied and I = 1 is taken.
ICONS
BYS = Building altitude class
DTS = Earthquake design class
DD-1 = Earthquake ground motion level
DD-2 with a probability of exceeding 2% (recurrence period 2475 years) in 50 years = earthquake ground with a probability of exceeding 10% in 50 years (recurrence period 475 years) motion level
DD-3 = earthquake ground motion level with 50% probability of exceedance in 50 years (recurrence period 72 years)
DD-4 = earthquake ground motion level with 68% probability of exceedance in 50 years (recurrence period 43 years)
I = Building importance coefficient
Horizontal elastic design spectrum formed for earthquake ground motion levels is used to define the earthquake effect according to Article 15.4.2 of TBDY .
Performance targets to be taken as basis in Assessment and Retrofitting of Existing Buildings within the scope of Assessment and Design Based on Shape Change (SSC) are defined in Table 3.4 (c) of TDBY .

According to the table above, in existing buildings with earthquake design class DTS = 1, 2, 3, 3a, 4, 4a, the Controlled Damage (KH) performance target should be achieved with the UDDT approach according to the DD-2 earthquake ground motion level. In existing buildings with earthquake design class DTS = 1a, 2a, the Controlled Damage (KH) performance target with DD-1 earthquake ground motion level should be achieved with the SHGDT approach and the Limited Damage (SE) performance target should be achieved with the SSDT approach according to the DD-3 earthquake ground motion level.
The horizontal elastic design spectrum is formed as follows according to the earthquake ground motion levels defined in Section 2.2 of TBDY and the map spectral acceleration coefficients defined in Section 2.3.2 .

Each Earthquake Ground Motion Level in a different horizontal Elastic Design Spectrum will find Table 3.4 (c) is different from the performance targets.
Building importance coefficient is not applied in earthquake calculation (I = 1.0).
Next Topic
Related Topics