Magnification of Reduced Internal Forces and Displacements for Building to Equivalent Base Shear Force
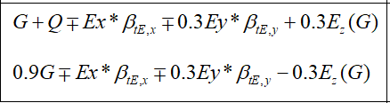
X and Y direction βtE increment coefficients obtained from this calculation for both directions are applied for the upper section elements as per TBDY 4.8.4.
The internal force results and displacements determined under the earthquake effect of the upper section are automatically increased by the program with this coefficient. This increase is not valid for vertical earthquake effects and vertical loads. Increment over load combinations is shown below.

The coefficients determined for X and Y directions of the building are as follows:
