Collapse Prevention Performance Level for Distributed Plasticity Model 5.8.1.1
The spread plastic behavior model is automatically applied in reinforced concrete curtains.
The unit deformation limit values of concrete and reinforcement steel specified in TBDY 5.8.1.1 are automatically calculated according to the diffuse plastic behavior model .
ICONS
A sh = Transverse reinforcement area (rectangular section) [mm 2 ]
A os = Area of transverse reinforcement (circular section) [mm 2 ]
a i = Distance between the axes of longitudinal reinforcement supported by a stirrup arm horizontally [mm]
b o = core concrete Section size between the axes of the winding stirrups [mm]
b k = Core size (distance between the outermost transverse reinforcement axes) [mm]
D = Distance between spiral / coil reinforcement axes [mm], [Equation (5.4e)]
db = Diameter of longitudinal reinforcement (average at tensile) [m]
f ce = Average (expected) compressive strength of concrete [MPa]
f ck = Characteristic compressive strength of concrete [MPa]
f ywe = Average (expected) yield strength of transverse reinforcement [MPa]
h o = Cross section size between the axes of stirrups surrounding the core concrete [mm]
L p = Plastic hinge length [m]
L s = Shear clearance [m]
s = Confinement reinforcement spacing [m]
αse = Coefficient of efficiency of confinement reinforcement
ϕ y = Yield curvature [m -1 ]
ϕ u = Shear curvature [m -1 ]
ω we = Mechanical reinforcement ratio of effective confinement reinforcement
ρ sh = Volumetric ratio of transverse reinforcement in the direction considered
ε c (GÖ) = Prevention of immigrants to the permitted performance level limit wound contraction concrete units
ε s (GO) = Prevention migrant reinforcement steel unit strain allowed for the performance level of the boundary
Evaluation and Design According to Strain (ŞGDT) approach with the non-linear analysis made curtains and polygon curtain elements new concrete buildings, Prevention of Immigration (PISG) to the performance level TBDY 5.8.1.1 'also used the specified limits. The permitted limits for concrete and reinforcement steel total unit deformations ε c (GÖ) and ε s (GÖ) calculated according to the dispersed plastic behavior model in curtain and polygon curtain elements are given below.
Concrete unit shortening for the Prevention of Migration (LO) performance level: For
rectangular columns, beams and walls:

The first term in these relations refers to the unit shortening of uncoiled concrete. In curtain elements, on which the diffuse plastic behavior model is applied, the wrapping reinforcement is taken into account within the head regions. In the above equation, ω we show the mechanical reinforcement ratio of the effective confinement reinforcement :

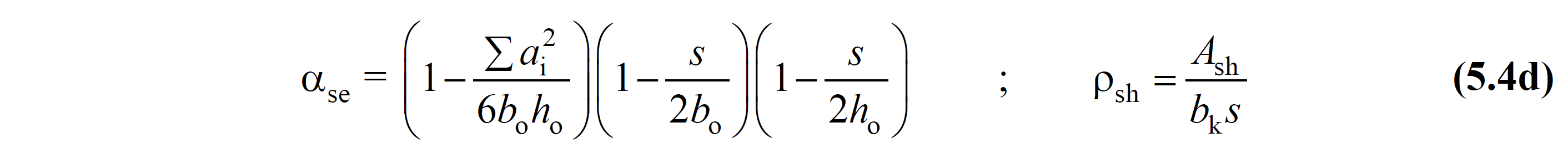
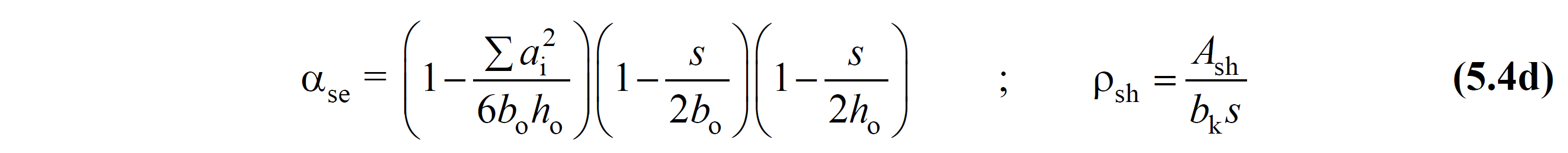
In Eq. (5.4c) , α se is the coefficient of confinement reinforcement efficiency , ρ sh, min is the smaller of the volumetric transverse reinforcement ratio in two horizontal directions in the rectangular section, and f ywe shows the average (expected) yield strength of the transverse reinforcement:

In Eq. (5.4d) , A sh and ρ sh are the area and volumetric ratio of the transverse reinforcement in the direction considered, b k the core size in the perpendicular direction (the distance between the outermost transverse reinforcement axes), s the transverse reinforcement interval, b o and h o winding. It shows the dimensions of confined concrete measured from the axes of the reinforcement, a i shows the distance between the axes of the longitudinal reinforcement supported by a stirrup arm or crossty. The efficiency coefficient of the circular confinement reinforcement is given in Equation (5.4e) :

Here A os is the area of the spiral / confinement reinforcement, s is the transverse reinforcement spacing or pitch of the spiral, and D is the distance between the spiral / confinement reinforcement axes. N = 2 for circular stirrups and n = 1 for spiral reinforcement.
In the image below, the areas where confined and uncoated concrete behavior is taken into consideration for curtains are shown.

(b) Unit deformation for reinforcement steel for the Preventing Migration performance level:

Here ε water indicates the unit elongation corresponding to the tensile strength (See. TBDY ANNEX 5.A ).