Determination of Base Shear Scale Factor (4.8.4.1)
If Vtx (X) <γE * VtE (X) for any earthquake direction (X) , all reduced internal force and displacement magnitudes obtained by the modal calculation method applied according to 4.8.2 or 4.8.3 , The equivalent base shear force given by Eq. (4.31) is automatically increased by multiplying it by the magnification factor βtE (X) .
If at least one of the A1 , B2 or B3 type irregularities defined in Table 3.6 is found in the building, γ E = 0.90 is automatically taken.
If none of the irregularities defined in Table 3.6 are found in the building, γ E = 0.80 is taken automatically.
According to the definition given in 3.3.1 , in buildings with basements surrounded by rigid walls from the outside, the equivalent base shear force magnification coefficient is automatically calculated only for the upper part above the basement floors of the building.
ICONS
V tE (X) = (X) total equivalent earthquake load (base shear force) acting on the entire building in the earthquake direction
V tx (X) = Maximum total earthquake load obtained in the x direction with the modal combination method
β tE (X) = Equivalent base Shear force amplification coefficient
γ E = Empirical coefficient used in determining the equivalent base shear amplification coefficient
m t =Total mass ofthe upper part of the building above the basements
S aR (T) = Reduced design spectral acceleration
From a mathematical point of view, Mode Combination Method is considered as a more precise method than Equivalent Earthquake Load Method. However, considering the stiffness of the elements of the carrier system, uncertainties in their behavior as well as the assumptions made in determining the spectrum curve, this method includes approximation. For this reason, the regulation demands that the results determined in the mode combination are compared with the results determined in the Equivalent earthquake load method and increased where necessary.
According to the logic of equivalent earthquake load method, this coefficient may be higher than 1 in regular and low-rise buildings that can be represented with 1.mod, while it is calculated less than 1, especially in random and high-rise buildings. This situation comes from the philosophy of modal combination method in determining dynamic effects by using single degree of freedom equations of motion for multiple modes. In short, it is because of the large number of modes taken into account in determining the earthquake behavior of the building. According to the regulation, the magnification factor can be at least 1.
Calculation of Total Equivalent Earthquake Load
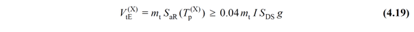
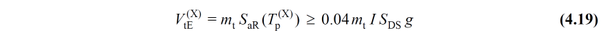
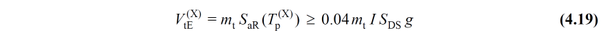
Total Equivalent Earthquake Load (base shear force) for any direction (X) , V tE (X) , to Equivalent Earthquake Load Method, Equivalent Lateral Force Method, according to TBDY Equation 4.19 .

In this equation, m t corresponds to the total mass of the building calculated considering the live load participation ratio . S aR (X) (T p ) shows the Reduced Design Spectral Acceleration calculated by taking into account the dominant natural vibration period of the building, T p (X) , in the direction of the considered (X) earthquake .
In the earthquake parameters table of the dynamic analysis report, the values used in the calculation for the relevant direction and the magnification coefficient obtained as a result of the calculation are given. In the Modal Base Shear Forces section of the earthquake regulation report, the base shear forces combined with the base shear force of each mode determined as a result of the modal analysis for each direction are given. Again, in the irregularities section of the earthquake regulation report, the coefficient γ E is automatically determined according to the presence of any of the A1, B2 and B3 irregularities .


The magnification factor according to the equivalent earthquake load is automatically applied only for the upper section elements above the basement floor in Basement Structures according to the regulation . Quantities such as internal force, displacement and relative displacement determined only under the effect of horizontal earthquakes are automatically multiplied by this coefficient.