Flexural Torsional Buckling Design
Symbols
Ag : Gross cross-sectional area of member
Cw : Warping constant, in.6 (mm6)
E: Structural steel modulus of elasticity
Fcr : Critical stress
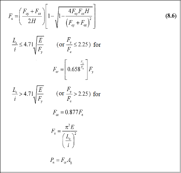
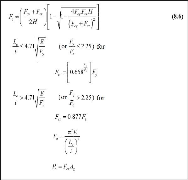
Fe : Elastic buckling stress determined according to Equation 8.6
Fey : Elastic buckling stress in buckling limit state with bending around the y-axis
Fez : Elastic buckling stress in torsional buckling limit state z-axis
Fy : Specified minimum yield stress of the type of steel being used
G: Shear modulus of elasticity of steel = 11,200 ksi (77 200 MPa)
H: Flexural constant
K : Effective length factor
L: Laterally unbraced length of the member
i: Radius of inertia
Flexural Torsional Buckling Limit State
When symmetry axis is the y-axis, where the buckling around the y-axis is caused by the bending and rotation of the element around its longitudinal axis on the Double-Leg angle, T profile, U profile and Single Equal-Leg angle sections that are under compression around their symmetry axes.

Design with ÇYTHYE 2018
The compressive strength of the elements is determined according to the axial force acting into the center of gravity section.
With the symmetry axis being the y-axis, the elastic buckling stress Fe in the flexural-torsional buckling limit state where buckling around the y-axis occurs by bending and rotating around the longitudinal axis, Fe is calculated according to equation 8.6.

