Unstiffened Seated Connection
Unstiffened seated connection is a type of connection that connects two profiles to each other with two angles (cornier or L profile). Bolt control, weld control and plate control are performed automatically according to the placement of the elements of the connection. Unstiffened seated connection design is made automatically according to the Design, Calculation and Construction Principles of Steel Structures (ÇYTHYEDY) (GKT and YDKT) or AISC 360-16 (ASD and LRFD) regulations and the connection report is created.
Weld thickness control is performed as a geometry control in the calculation of the brace and plate connection. As a strength control, yielding in the beam body, wrinkling in the beam body, angle shear yielding and support welding strength are checked.
Connection Geometry

Geometry Checks
Weld Thickness
| ÇYTHYEDY 13.3.7 |
|
|
| 8 mm |
| √ |
| 3.5 mm | Table 13.4 | √ |
Strength Checks
Beam Web Yielding
| 7.1 mm |
|
| 25.7 mm |
|
| 10.7 + 15 = 25.7 mm (Beam flange + Beam flange radius) |
|
| 235.359 N/mm2 |
|
| ![]() | ÇYTHYEDY 13.25b |
| ![]() |
|
Required | Avalaible | Ratio | Control |
|---|---|---|---|
73.288 kN | 100,207 kN | 0.731 | √ |
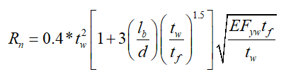
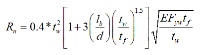
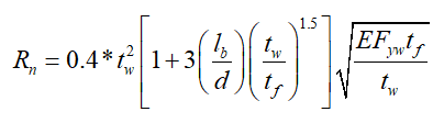
Beam Web Crippling
| 7.1 mm |
|
| 10.7 mm |
|
| 25.7 mm |
|
d | 300 mm |
|
E | 205939650 kN/m2 |
|
| 235.359 N/mm2 |
|
| ![]() | ÇYTHYEDY 13.26b |
| ![]() |
|
| ![]() |
|
Required | Avalaible | Ratio | Control |
|---|---|---|---|
73.288 kN | 98.138 kN | 0.747 | √ |
Angle Shear Yield
| ![]() |
|
| 235.359 N/mm2 |
|
| ![]() | ÇYTHYEDY 13.17 |
| ![]() |
|
Required | Avalaible | Ratio | Control |
|---|
Required | Avalaible | Ratio | Control |
|---|---|---|---|
73.288 kN | 141,215 kN | 0.519 | √ |
Weld Strength at Support
| 480000 kN/m2 |
w | 11.315 mm |
| 362.846 N/mm2 |
l | 110 mm |
e | 60mm |
| ![]() |
![]() |
Required | Avalaible | Ratio | Control |
|---|---|---|---|
73.288 kN | 74.06 kN | 0.990 | √ |
Next Topic
Related Topics









