Design of Steel Members for Combined Forces
SYMBOLS
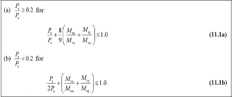
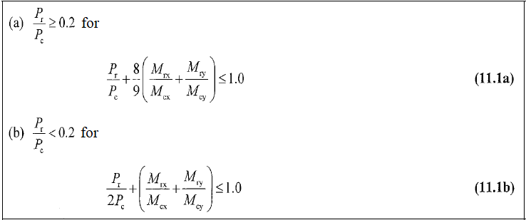
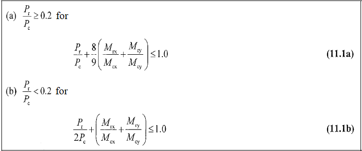
Pr: Required axial force resistance for YDKT or GKT load combinations
Pc: Strength of axial compressive force available according to Section 8
Mr: Required bending moment strength for YDKT or GKT load combinations
Mc: current bending moment strength according to Section 9
Design for Axial Force and Flexural Moment
The strength calculation is made by taking into account the combined stresses created in the members under a flexural moment and axial force.
The superposition of the stresses is only applicable to similar stresses.
The superposition rule does not apply to when stability losses occur.

Design with ÇYTHYE 2018
Equation 11.1 is used for double and single symmetrical members under the combined effect of compression and biaxial flexural moment.

Next Topic