Pushover Curve and Modal Capacity Curve (5B.1.4 , 5B.1.5)
The thrust curve is obtained automatically.
After obtaining the thrust curve, the Modal Capacitance Diagram is automatically obtained by performing the coordinate transformation.
ICONS
a 1 (X,k) = modal pseudo-acceleration [m/s2] of the first mode modal single degree of freedom system at the kth push step for earthquake direction [m/s2]
d 1 (X,k) = (X) earthquake modal displacement of the modal single degree of freedom system belonging to the first mode in the kth thrust step for the kth thrust for the earthquake direction[m]
m i = the total mass of the i th floor
m ix1 (X,1) = (X) the first thrust in the x-axis direction for the earthquake direction i th floor modal effective mass [t]
m tx1 (X,1) calculated according to the constant mode shape determined in step and never changed during the thrust calculation
= (X) modal effective mass of the base shear force calculated according to the constant mode shape determined in the first thrust step in the x-axis direction and never changed during the thrust calculation [t] u ix1 (X,k) = (X) for the earthquake direction Displacement [m] calculated in the x-axis direction at the i-th floor at the kth push step [m]
u Nx1 (X,k) = (X) displacement calculated in the x-axis direction at the Nth floor (top of the building) at the kth push step for the earthquake direction [ m]
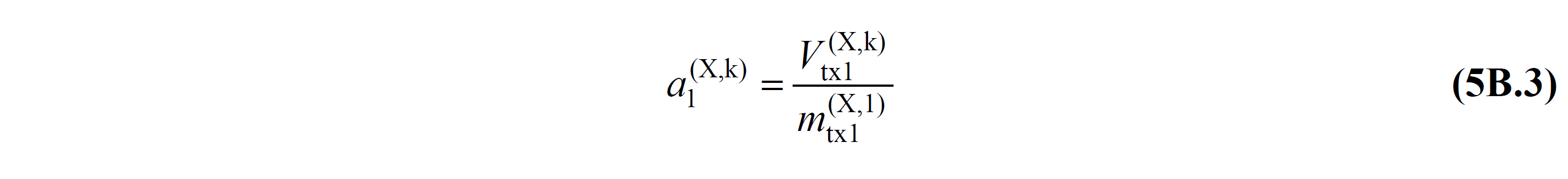
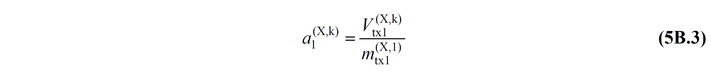
V tx1 (X,k) = Base shear force calculated in the x-axis direction at the kth thrust step for the (X) earthquake direction [kN]
Φ Nx1 (1) = The amplitude of the constant mode shape in the x direction determined at the first thrust step at the Nth floor and never changed during the thrust calculation
Γ 1 (X,1) = (X) determined in the first thrust step for the earthquake direction and throughout the thrust calculation modal contribution factor calculated according to the constant mode shape that is never changed
Together with the value of u Nx1 (X,k) and Vtx1 (X,k) shown in TDY 5B.1.2 and TDY 5B.1.3 , a thrust curve whose coordinates are base shear force-peak displacement is obtained. To find the performance point, the V tx1 (X,k) term TDY Equation 5B.3 and the u Nx1 (X,k) term TDY Equation 5B.4 are applied.
The vertical axis ( X ) of the thrust curve obtained is the base shear force Vtx1 (X,k) calculated in the kth step of the thrust analysis for the earthquake direction, and the horizontal axis (X) for the earthquake direction is the Nth floor calculated in the kth step of the thrust analysis. peak displacement of the Nx1 (X, k) 'd TDY Figure 5B.1 (a) .
TDY Equation 5B.3 is used in the coordinate transformation to the base shear force V tx1 (X,k) .

m tx1 (X,1) is the modal effective mass obtained in the first mode of the modal analysis , the value of which is done in the initial step where second-order effects are taken into account . The value of m tx1 (X,1) is calculated only for the first step and is the sum of the floor modal effective masses m tx1 (X,1) values taken as constant throughout the entire thrust calculation .
TDY Equation 5B.4 is used in the coordinate transformation to the vertex displacement u Nx1 (X,k) at the N th floor .

Φ Nx1 (1) is the mode amplitude at the Nth floor obtained in the first mode of the modal analysis performed in the initial step . The value of Γ 1 (X,1) is the modal contribution factor obtained as a result of the modal analysis performed in the initial step . These values are calculated only for the first step and are considered constant throughout the entire thrust calculation .
In this case , the thrust curve whose coordinates are base shear-peak displacement is converted into a modal capacitance diagram whose coordinates are modal displacement-modal pseudo-acceleration TDY Figure 5B.1(b) . The modal capacity diagram is used to find the building performance point and the displacement demand is obtained. Obtaining the performance point is described in Determination of Modal Displacement and Performance Point (5B.3) .
