Beam-to-Column Connection Requirements
9.3.4.1 - The following three conditions shall be met at the beam-column connections of highly ductile moment-resisting steel frames.
The connection shall be capable of accommodating a story drift angle of at least 0.04 rad.
(a) The connection shall be capable of providing at least 0.04 radian relative story drift angle (relative story displacement/story height). For this purpose, connection details that have been validated by experimental and/or analytical methods will be used. Various examples of bolted and welded connection details and their prequalification limits that have been proven to be valid are given in Annex 9B.
(b) The Annex 9B defines how to compute required moment resistance at the column face Muc by using the expected plastic bending moment of the beam Mp and possible plastic hinge location from the beam end Lh using Eq. (9.11).

In determining the required bending moment strength, the contribution of the additional bending moment from gravity loads for the part of the beam between the plastic hinge and the column face must be taken into account.
(c) To determine the Vuc , the shear flow mechanism is taken into account to determine shear forces due to gravity resulting from (1.2 G +0.5 Q +0.2 S) combination and shear due to formation of the plastic hinge at beam end or column face by Eq. (9.12).

9.3.4.2 - In the beam-column connection detail, the required shear strength Vup of the panel zone limited by the column and beam flanges (Figure 9.3) shall be computed by Eq. (9.13) based on the column shear force resulting from the effect of possible plastic moments of the beams connected to the column.

(a) The panel zone is dimensioned to have sufficient shear strength. For this, the design shear strength of the panel zone will be determined by ϕv = 1.0 (YDKT), taking into account the yield limit state in shear effect. If this condition is not fulfilled, the panel zone will be strengthened by adding continuity plates or stiffeners in the diagonal direction.
(b) The smallest thickness of the column doubler plates and if used each of the continuity plates, shall meet the condition tmin ≥ u / 180 (Figure 9.4). In cases where this condition is not fulfilled, the continuity plates and the column doubler plate will be welded to each other so that they work together and it will be checked that the sum of plate thicknesses meets the condition ∑ t ≥ u / 180.
(c) If continuity plates are used in the panel zone, full penetration groove weld or fillet weld shall be used to connect these plates to the column flanges (Figure 9.4). The welds must be designed according to the shear force acting on continuity plates.


9.3.4.3 - In beam-column connection details that transfer moment, continuity plates will be placed on both sides of the column web at the level of beam flanges and by this, it will be ensured that the tensile and compressive forces on the beam flanges are transferred to the column (and to the neighbouring beam in beam-column connection) (Figure 9.3).
(a) The thickness of the continuity plates shall not be less than the flange thickness of the assembling beam in one-sided beam joints, and in the case of two-beams assembled to the column from both sides, the thickness of the continuity plates should not be less than the greatest thickness of the flanges of the connected beams.
(b) Full penetration groove weld will be used to assemble the continuity plates to the column web and flanges. Fillet weld can also be used to assemble the continuity plate to the column web. However, this weld should have sufficient the length and thickness to transfer a force equal to the shear capacity of the continuity plate in its own plane to the column web.
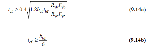
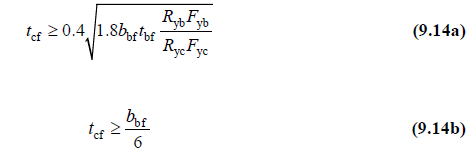
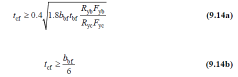
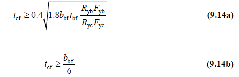
(c) Column flange thickness

Continuity plate is not required if both conditions meet.
9.3.4.4 - For the dimensioning of the beam-column connection detail, the computation principles given in Annex 9B will be used.
Next Topic