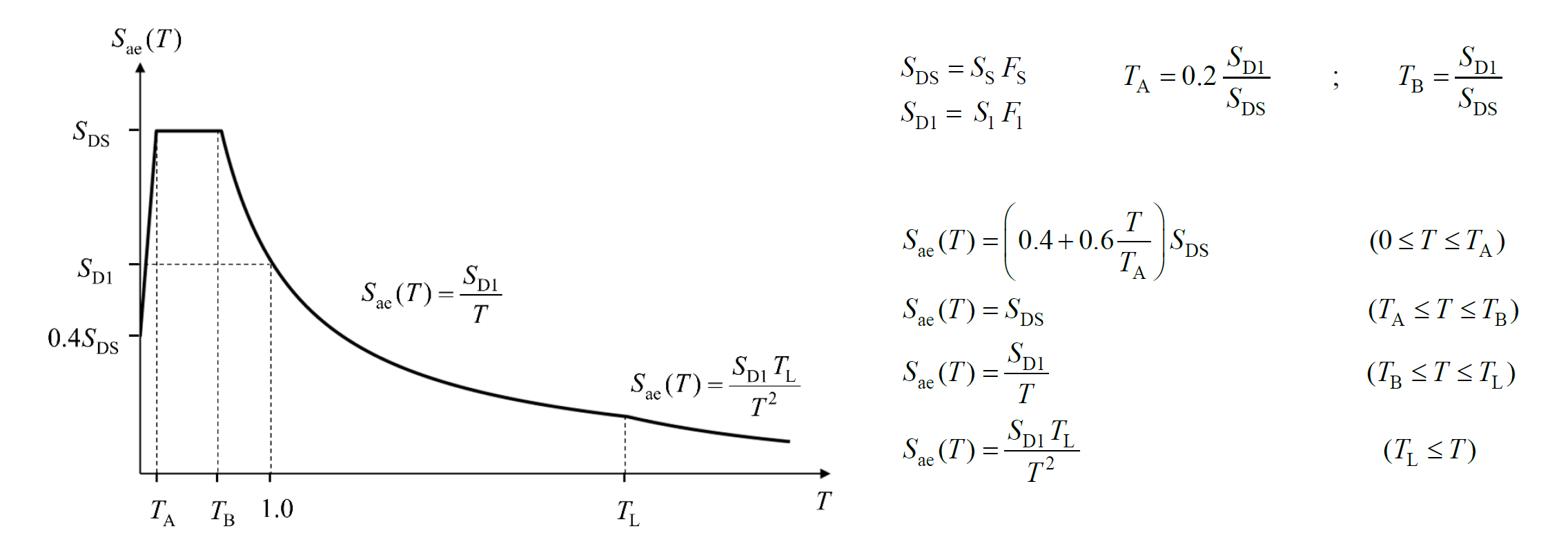
Horizontal Elastic Design Spectrum of the Building
Symbols
FS = short-period site coefficient
F1 = long-period site coefficient (at 1.0-s period)
SDS = Short-period design spectral acceleration coefficient [dimensionless]
SD1 = Design spectral acceleration coefficient for a period of 1.0 second [dimensionless]
SS = mapped spectral response acceleration parameter at short periods
S1 = mapped spectral response acceleration parameter at a period of 1 s
T = the fundamental period of the structure, s
TA = Horizontal elastic design acceleration spectrum characteristic period
TB = Horizontal elastic design acceleration spectrum characteristic period
TL = long-period transition period
Sae(T) = Horizontal elastic design spectral response acceleration [g]
The map spectral acceleration coefficients Ss and S1 values of the coordinates, specified at General Building Informations, are obtained from AFAD earthquake map data using the Analysis Wizard online option.
Local soil effect coefficients are obtained from TBDY 2018 Table 2.1 according to ZC local soil class specified in the geotechnical report, and the design spectral acceleration coefficients are calculated automatically by the program.

Ss | 0.927 |
S1 | 0.259 |
Fs | 1.2 |
F1 | 1.5 |
SDS |
|
SD1 |
|
TA |
|
TB |
|
The horizontal elastic design spectral accelerations Sae(T), which ordinates the horizontal elastic design acceleration spectrum for any earthquake ground motion level considered, are defined in terms of gravitational acceleration [g] depending on the natural vibration period.
Based on the coordinates, the spectral acceleration coefficients obtained from AFAD and the horizontal elastic design spectrum Sae(T) are determined according to the formula below. The horizontal elastic design spectrum is represented by a total of 4 functions, different in each region, as shown in the graph below.

The horizontal elastic design spectrum is created with the “TBDY 2018 Wizard for Analysis Settings” command using spectrum values specified above.
The horizontal elastic design spectrum created in the “Analysis Settings” window is shown below.
