Comparison Sample Calculation

Under the specified loads, design the steel column with S355 material using the HEB section. The lower-end of the column is fixed and the upper-end is hinged.
Solution
Determination of the axial force on the column.
Determination of the support condition.

TS EN 1993-1-1 Solution






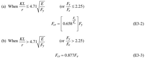
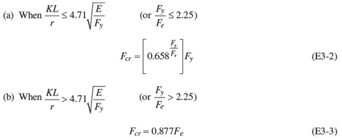
LRFD -YDKT and ASD-GKT Solutions






The effect of the different load combinations of the regulations was not reflected in the example, the design was only carried out under G (dead) load.
Next Topic
Related Topics