Design of 8 Bolts Stiffened End Plate Connection
Connection Geometry


GEOMETRY CHECKS
Bolt Spacing
smin ≥ 3d | ÇYTHYEDY 13.3.6 |
|
|
s | 90 mm |
|
|
d | 24 mm | s =90 mm > smin = 3*24=72 mm | √ |
Horizontal Edge Distance
Leh ≥ Le- min | ÇYTHYEDY 13.3.7 |
|
|
Leh | 42.5 mm | ||
Le- min | 32 mm | Table 13.9 | √ |
Vertical Edge Distance
Lev ≥ Le- min | ÇYTHYEDY 13.3.7 |
|
|
Lev | 35 mm | ||
Le- min | 32 mm | Table 13.9 | √ |
Beam Web to End Plate Weld Size
a ≥ amin |
|
|
|
a | 5 mm |
| √ |
amin | 3.5 mm | Table 13.4 | √ |
Stiffener to Beam Web Weld Size
a ≥ amin |
|
|
|
a | 9 mm |
| |
amin | 4 mm | Table 13.4 | √ |
Stiffener to End Plate Weld Size
a ≥ amin |
|
|
|
a | 9 mm |
| |
amin | 4 mm | Table 13.4 | √ |
Continuity Plate to Column Web Weld Size
a ≥ amin |
|
|
|
a | 8 mm |
| |
amin | 4 mm | Table 13.4 | √ |
Continuity Plate to Column Web Weld Size
a ≥ amin |
|
|
|
a | 8 mm |
| |
amin | 4 mm | Table 13.4 | √ |
Prequalification Limits (TBDY Table 9B.1)
Beam span/Beam depth | 8000mm /450mm=17.78 | ≥7.0 |
End plate thickness, tp | 25mm | 18≤t p ≤65 |
End plate width, bp | 215mm | B 215≤ P ≤ 400 |
Horizontal distance between bolts, g | 130mm | 125≤g≤155 |
pfi | 40mm | 40≤p fi ≤50 |
pfo | 40mm | 40≤p fi ≤50 |
pb | 90mm | 90≤p b ≤100 |
Beam depth, db | 450mm | 450≤ d b ≤ 950 |
Beam flange thickness, tbf | 14.6mm | 14≤t bf ≤35 |
Column depth | 450 | ≤ 920mm |
Bolt grade | 10.9 | 8.8 - 10.9 |
Min yield stress of end plate material | 275 MPa | 235 /275/355 MPa |
Flange plate weld | CJP | CJP |
Strength Checks
Bolt Diameter
Muc | 810.184 kNm | AISC 358-16 (6.8-4) |
Ft | 750000 kN/m2 |
|
h1 | ![]() |
|
h2 | ![]() |
|
h3 | ![]() | |
h4 | ![]() | |
db | ![]() |
|
Required | Available | Ratio | Check |
|---|---|---|---|
20.946 mm | 24 mm | 0.873 | √ |
End Plate Thickness
Muc | 810.184 kNm | AISC 358-16 (6.8-5) |
Fyp | 275000 kN/m2 |
|
s | ![]() |
|
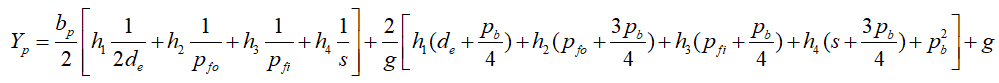
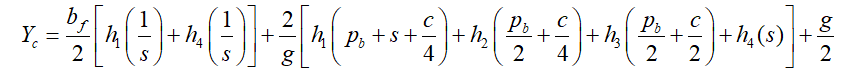
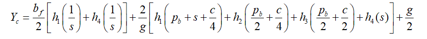
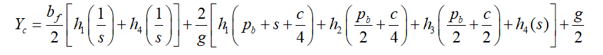
Yp | ![]() |
|
Yp | 6228.788 |
|
tp | ![]() |
|
Required | Available | Ratio | Check |
|---|---|---|---|
22.913 mm | 25 mm | 0.917 | √ |
End Plate Stiffener Thickness
tbw | 9.4 mm | AISC 358-16 (6.8-9) |
Fyb | 275000 kN/m2 |
|
Fys | 275000 kN/m2 |
|
ts | 15 mm |
|
| ![]() |
|
| ![]() |
|
Required | Available | Ratio | Check |
|---|---|---|---|
9.4 mm | 15 mm | 0.627 | √ |
End Plate Stiffener Local Buckling
hs | 210 mm | AISC 358-16 (6.8-10) |
ts | 15 mm |
|
E | 205939650 kN/m2 |
|
Fys | 275000 kN/m2 |
|
| ![]() |
|
| ![]() |
|
Required | Available | Ratio | Check |
|---|---|---|---|
11 mm | 15.102 mm | 0.728 | √ |
Stiffener to Beam Flange Weld Size
Fys | 275000 kN/m2 | AISC DG 4-2nd 3.2.10 |
ts | 15 mm |
|
Fe | 480000 kN/m2 |
|
w | ![]() |
|
Required | Available | Ratio | Check |
|---|---|---|---|
8.103 mm | 12.73 mm | 0.637 | √ |
Stiffener to End Plate Weld Size
Fys | 275000 kN/m2 | AISC DG 4-2nd 3.2.10 |
ts | 15 mm |
|
Fe | 480000 kN/m2 |
|
w | ![]() |
|
Required | Available | Ratio | Check |
|---|---|---|---|
7.938 mm | 8.487 mm | 0.935 | √ |
Bolt Shear at Support
Ab | ![]() |
Fn | ![]() |
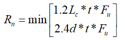
Rn | ![]() |
ΦRn | ![]() |
Required | Available | Ratio | Check |
|---|---|---|---|
265.11 kN | 1465.74 kN | 0.181 | √ |
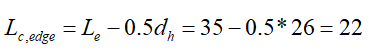
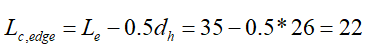
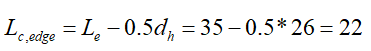
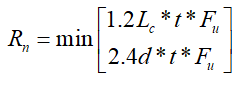
Bolt Bearing on End Plate
dh | 24+2=26 mm |
|
Lc,edge | ![]() |
|
Rn | ![]() | ÇYTHYEDY 13.3.13 Eq. 13.14a and 13.14b |
Rn-edge | ![]() |
|
Lc,spacing1 | ![]() |
|
Rn-spacing1 | ![]() |
|
Lc,spacing2 | ![]() | |
Rn-spacing2 | ![]() | |
Rn | ![]() |
|
ΦRn | ![]() |
|
Required | Available | Ratio | Check |
|---|---|---|---|
265.11 kN | 3854.52 kN | 0.069 | √ |
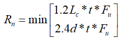
Bolt Bearing on Column Flange
dh | 24+2=26 mm |
|
Rn | ![]() | ÇYTHYEDY 13.3.13 Eq. 13.14a and 13.14b |
Rn-edge | ![]() | |
Lc,spacing1 | ![]() |
|
Rn-spacing1 | ![]() |
|
Lc,spacing2 | ![]() | |
Rn-spacing2 | ![]() | |
Rn | ![]() |
|
ΦRn | ![]() |
|
Required | Available | Ratio | Check |
|---|---|---|---|
265.11 kN | 5499.187 | 0.048 | √ |
Beam Web to End Plate Weld Size
Fyp | 275000 kN/m2 | AISC 358-16 (6.7.6)3 |
tbw | 9.4 mm |
|
Fe | 480000 kN/m2 |
|
w | ![]() |
|
Required | Available | Ratio | Check |
|---|---|---|---|
5.078 mm | 7.072 mm | 0.718 | √ |
Column Flange Thickness
Muc | 810.184 kNm | AISC 358-16 (6.8-13) |
Fyc | 355000 kN/m2 |
|
s | ![]() |
|
Yc | ![]() |
|
Yc | ![]() |
|
tcf | ![]() |
Required | Available | Ratio | Check |
|---|---|---|---|
17.954 mm | 26 mm | 0.691 | √ |
Panel Zone Thickness
tmin≥u/180 | ![]() | TBDY 2018 9.3.4.2b |
tmin=tw | 14 mm |
|
tw | 14 mm |
|
u | 1637.6 mm |
|
Required | Available | Ratio | Check |
|---|---|---|---|
9.098 mm | 14 mm | 0.65 | √ |
Next Topic




































